1、产品概述:
二噁英催化剂(Dioxins catalyst)是指能将二噁英催化氧气分解,生成无害的水蒸汽、二氧化 碳、氯化氢的活性催化剂。利用催化剂催化分解二噁英类物质,无需二次处理。在脱除二噁英的同时, 通过使用还原剂NH3还具备去除氮氧化物的效果。具有较高的分解性能,使用寿命长。可再生利用, 经济性优于活性炭吸 附工艺。可在现有的设备基础上进行改造安装。
城市生活垃圾焚烧处理方法目前已成为各国处理废弃物主要的和有效的技术之一。但是,垃圾焚烧 过程中不可避免地会产生大量的污染物,如颗粒物、酸性气体、重金属以及二噁英。这些污染物对人体 健康存在着极大的危害,而尤以二噁英的毒害大,去除难度也高。二噁英是一类无色无味、毒性巨大的 脂溶性物质,化学性质非常稳定,在自然环境中难以降解,在人体内会长期累积存留,诱发癌症,只有 在催化剂的作用下才能完全分解。
2、技术参数
1、比表面积:≥70 m2 /g。
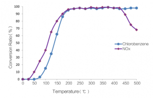
2、较宽的活性窗口,满足200~420℃运行。
3、脱二噁英效率:〉98%(在200~420℃温度区间脱除率)。
4、 抗压强度:轴向抗压强度≥3.5MPa,径向抗压强度≥1.2MPa。
南通大鸿环保器材有限公司





您好!请登录